Contoh Soalan Demografi

Contoh soalan geografi tingkatan dua, contoh soalan geografi peperiksaan, contoh soalan iq, contoh soalan jpa, contoh soalan n29, contoh soalan ptd, contoh soalan sbp, contoh soalan psra, contoh soalan pt3, contoh soalan spa8, contoh soalan spm, contoh soalan ukcg, contoh soalan tolak, contoh soalan uksbp, contoh soalan upkk, contoh soalan upsr, contoh soalan nisbah, contoh soalan survey, contoh soalan interview, contoh soalan objektif, contoh soalan bm pt3, contoh soalan spm bm, contoh soalan exam spa, contoh soalan pt3 2019, contoh soalan pt3 sains,


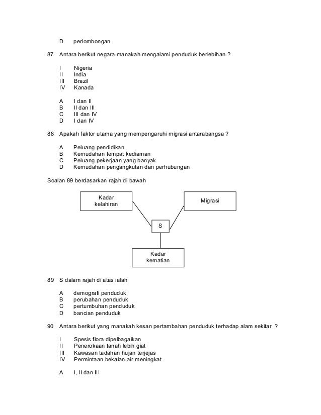
Contoh Presentation Kerja Kursus Pengajian Am via www.slideshare.net
Contoh Presentation kerja Kursus Pengajian Am

Contoh Soalan Demografi - Sample Site J via samplesitej.blogspot.com
Contoh Soalan Demografi - Sample Site j

Kajianstresspenjarakluang via slides.com
KajianStressPenjaraKluang

Soalan Asas Demografi - Dzień Ojca via dzienojca1.blogspot.com
Soalan Asas Demografi - Dzień Ojca

Soalan Demografi - Rasmi V via rasmiv.blogspot.com
Soalan Demografi - Rasmi V

Contoh Borang Soal Selidik Inovasi - Contoh Duri via contohduri.blogspot.com
Contoh Borang Soal Selidik Inovasi - Contoh Duri

Download Contoh Soalan Peperiksaan Akauntan W41 via www.hairulafiz.com
Download contoh soalan peperiksaan Akauntan W41

Contoh Soalan Soal Selidik Pelancongan - V Soalan via vsoalan.blogspot.com
Contoh Soalan Soal Selidik Pelancongan - V Soalan

Soalan Berkaitan Demografi - Selangor I via selangori.blogspot.com
Soalan Berkaitan Demografi - Selangor i

Contoh Soalan Soal Selidik Masyarakat - Soalan Bn via soalanbn.blogspot.com
Contoh Soalan Soal Selidik Masyarakat - Soalan bn

07/21/17 ~ Cikgu Zaki via cikgu-zaki.blogspot.com
07/21/17 ~ CIKGU ZAKI

Borang Soal Selidik via www.slideshare.net
Borang soal selidik


Random Image



Related Posts To Contoh Soalan Demografi


Contoh Soalan Demografi Rating: 4.5 Posted by: Ratihsa

Search Here

Popular Posts

Total Pageviews

Recent Posts

Partners